This is an old revision of the document!
2. Diodes and Transistors
Introductory example
The electronics in personal computers, mobile phones, electric toothbrushes, and like all other digital companions, are based on transistor circuits. In introduction_to_digital_systems it has already been explained that all logic circuits can be traced back to NAND and NOR gates, respectively, via conjunctive and disjunctive normal forms. These in turn consist of transistors. In the simulation below, the structure of a NAND gate is shown in the current CMOS structure. CMOS here indicates the structure of the circuit and semiconductor structure: Complementary metal-oxide-semiconductor - an oppositely complementary circuit of semiconductors of the metal-oxide-semiconductor structure. The complementary structure is shown by the fact that.
- from the digital output ($OUT2$) to ground two transistors of one kind are connected in series and
- from the digital output ($OUT2$) to the $5V$ supply, two transistors of a different type are connected in parallel.
These two different kinds of MOS-transistors and further used kinds shall be explained in this chapter.
Goals for the bipolar transistor
After this lesson, you should:
- Know what types of bipolar transistors there are, what their layer structure and circuit symbol looks like.
- Know how the two types of bipolar transistors are controlled.
- Know what are the main characteristics of the bipolar transistor and what they look like.
Goals for the field-effect transistor
After this lesson, you should:
- Know what types of MOSFETs there are, what their layer structure and circuit symbol looks like.
- Know what the output characteristics of the MOSFET looks like.
- know what the body diode is and where it comes from.
- know what to look for in the output characteristics when designing a semiconductor element.
2.6 (bipolar) Transistors
2.6.1 Functional Principle
A variable resistor can be developed from the diode or PN junction. With this controlled transition resistor (“transfer resistor” or better transistor) the resistance can be changed by a current and thus the current let through can be adjusted.
Video-Transcript (Alternative to the explanation in the video)
2.6.2 Circuit Symbol
As just described, the bipolar juction transistor (BJT) is built by a three-layer alternately doped layer structure, which corresponds to two diodes opposite and connected in series. Depending on the layer sequence (or “direction of the diodes”), pnp or npn transistors result, represented by different circuit symbols with three terminals (see figure 1).
In both transistor variants, charge carriers are emitted from the emitter terminal (E) toward the collector terminal (C) if a suitable current flows through the base terminal (B). In simplified terms, the negative charge carriers of the n-doped sides could represent a current through an NPN structure if negative charge carriers were also present in the p-doped layer. The current $I_C$ flowing with it in the technical current direction is illustrated in the circuit symbol by the arrow direction at the emitter. In the NPN transistor, the current $I_C$ flows from the collector to the emitter. Since positive charge carriers enable conductivity in the PNP transistor, the technical current direction here points from the emitter to the collector and the arrow on the emitter points towards the collector. The direction of the arrow is similar to the direction of the diode or the PN junction. Other mnemonic devices for the direction of the arrow are:
- pnp: arrow Points iN Proudly
- npn: arrow Not Pointing iN
2.6.3 Correct Wiring of the Transistors
The following simulation shows the correct connection of the transistors. In general, the arrow of the symbol of the technical current direction must point at the correct interconnection. The base current $I_C$ is almost always generated in the circuits by a voltage source between base and emitter with a voltage $U_{BE}$. In this case, a positive voltage with respect to the emitter is required for the NPN transistor and a negative voltage with respect to the emitter is required for the PNP transistor. In practical applications the NPN transistors predominate, among other things because the negative charge carriers used there produce a higher conductivity. For the following explanations only NPN transistors are considered.
A central question that arises from a closer look at the simulation is: Why does a technical current flow into the base, i.e. positive charge carriers into the p-layer, have to be supplied for the NPN transistor? Wouldn't it be more plausible if the negative charge carriers, which are not present and needed for transport, had to be supplied?
2.6.4 Transistor in the Band Model
To understand this, the knowledge of the PN junction is needed. In the figure figure 2, the structure of the NPN transistor is shown in the band model. In the n-doped collector and emitter, the free-moving negative charge carriers (blue) and stationary positive charge carriers (red) are drawn, and in the base, correspondingly, the free-moving positive charge carriers (red) and stationary negative charge carriers (blue). Both PN-junctions have formed a junction. A positive voltage $U_{CE}$ is applied to the transistor, which cannot generate any current flow in the situation shown. Due to the positive voltage $U_{CE}$ and the missing potential at the base, the voltage $U_{BE}$ decreases, which leads to a reduction of the junction. In contrast, the voltage $U_{CB} = U_{CE} -U_{BE}$ increases. Thus, the junction between the base and the collector becomes larger. When the external voltage $U_{CE}$ is varied, there will always be at least one PN junction that is reverse biased, i.e. the transistor will block.
To deplete the junction between the collector and the base, the latter must be connected in the forward direction. Transistor is switched through in several steps, which are described below via figure 3:
- Figure: The physics of this takes place in the narrow p-layer. The following images refer to the highlighted section.
- Figure - Situation $U_{CE}=0V, U_{BE}=0V$: In this picture the unpowered transistor is shown. In it the free charge carriers (electrons in blue, holes in red) and the junction layers between base and emitter, and base and collector in yellow. Only the junction layer shows the stationary charge carriers with their sign. As shown in the band model, the stationary charge carriers are present everywhere in both doped regions.
- Figure - Situation $U_{CE}=0V, 0V<U_{BE}<0.6V$: First, consider a small, positive voltage $U_{BE}$. This provides holes in the base with current $I_B$. This operates the PN junction between the base and emitter in the forward direction. In the figure, it is indicated with black circles that the injected holes compensate some stationary negative charge carriers in both junction layers. Electrons also flow through the emitter into the n-region, which attenuate the junction on the other side.
- Figure - Situation $U_{CE}=0V, U_{BE}>0.6V$: When the forward voltage of the PN junction between base and emitter is exceeded, the injected holes and electrons cancel the bottom junction. In the simulation below, it can be seen that the circuitry of the transistor is such that in the diode circuit (which is not physically correct), the diode between the base and emitter becomes conductive.
- Figure - Situation $U_{CE}>0V, U_{BE}>0,6V$: Now with this voltage at the base, the working circuit, i.e. a voltage $U_{BE}>0$ should be present at the output. In the real system, the base is very small compared to the mean free path length of the electrons (“path to recombination with a hole”). This changes the situation at the upper PN junction. In a classical diode, no electrons are present in the p-doped region. However, the electrons present here can cross the base and compensate for the stationary positive charge carriers in the upper junction. The holes injected into the base in turn compensate for the stationary negative charge carriers. Thus, this junction layer is also removed. This is possible as long as enough holes are injected into the base.
- Figure - Situation $U_{CE}>0V, U_{BE}>0.6V$: Thus, in the NPN bipolar juction transistor, both holes (to remove the junction layers) and electrons (as the “main agents” responsible for charge transport, the so-called majority carrier charges) contribute to the conductivity. This is where the name bipolar juction transistor comes from.
The simulation shows the simplified model of the opposing diodes. The necessary input current $I_C$ and the corresponding input voltage $U_{BE}$ resemble the ratios of the diode between base and emitter. In figure 4 the principle of operation is shown. The current $I_B$ across the diode between base and emitter regulates the current $I_C$ in the working circuit. This regulation is done by the variable resistor $R_{CE}$.
2.6.5 Characteristics
In the previous chapter 1 Amplifier basics the characteristics of a black box have already been discussed, there especially for an amplifier. The methodology can also be applied here. In the video above, the first parameter has already been described: The current gain $\beta=\frac{I_C}{I_B}$, or in the form of a graph, the current gain characteristic $I_C(I_B)$.1).
Another characteristic is the input characteristic $U_{BE}({I_B})$ or as differential characteristic (=slope in the characteristic) the differential input resistance $r_{BE}=\frac{d U_{BE}}{d I_B}$. As described earlier, the structure between the base and emitter resembles a diode. Accordingly, the input characteristic resembles that of a diode. Since the current flow $I_B$ is very small (a few microamps or smaller), the input resistance $r_{BE}$ is large.
The following simulation shows the current gain characteristic $I_C(I_B)$ and input characteristic $U_{BE}({I_B})$ by varying $U_{BE}$ (or $I_B$).
For the description of the transistor, the output characteristics $U_{CE}({I_C})$ and the differential collector-emitter resistance $r_{CE}=\frac{U_{CE}}{I_C}$ present in it as a slope is particularly important. This can be seen in the following simulation for different input voltages $U_{BE}$ (and thus different control currents $I_B$). The output characteristics can be divided into different ranges:
- junction: at low input voltages $U_{BE}< 600mV$, the junction is not degraded. Accordingly, the entire transistor becomes non-conducting. In the output characteristics, this can be seen by the fact that when the output voltage $U_{CE}$ is positive, the output current $I_C$ becomes very small. In this case, the transistor on the output side corresponds to a high-impedance resistor, or an open switch.
- Gain region (or active region): at larger input voltages $U_{BE}> 600mV$, the junction is degraded. In the gain region, the output characteristic behaves as a straight line. The output current $I_C$ is thus only dependent on $I_B$, as defined by the current gain $\beta=I_C/I_B$.
- Saturation region: The saturation region is found at larger input voltages $U_{BE}> 600mV$ and only small output voltage $U_{CE}$. At constant input voltage $U_{BE}$ the output voltage behaves to the output current like a high non-linear resistor. in this case the transistor on the output side corresponds to a low impedance resistor, or a conducting switch.
In the datasheet, a different nomenclature is occasionally found, resulting from the so-called H-characteristic of quadrupole theory2):
- current gain $h_{fe}=\beta(I_C, U_{CE})=\frac{I_C}{I_B}$
- input resistance $h_{ie}=r_{BE}(I_C, U_{CE})=\frac{U_{BE}}{I_B}$
- output resistance $h_{oe}=r_{CE}(I_B, U_{BE})=\frac{U_{CE}}{I_C}$
The bipolar juction transistor is used where a low threshold voltage or current amplifier is required. This is advantageous in various amplifier circuits, for example. Bipolar juction transistors are also found in some simple power supplies. The most common bipolar juction transistor circuit is the so-called collector circuit. This is characterized by the fact that a constant voltage - the supply voltage - is applied to the collector. Several collector circuits can be operated by a common voltage supply. This means that the same voltage is applied to all collector connections. Because of the wide use that bipolar juction transistors have had, even today the common voltage supply of electronic circuits is called $V_{CC}$, where $CC$ stands for Common Collector. This is often seen even when bipolar juction transistors are no longer used.
A major disadvantage of the bipolar juction transistor is that a control current is required for switching. Especially in digital circuits, but also in power electronics, this results in a non-negligible input power $P=U_{BE}\cdot I_B$. This leads to losses and waste heat, which must be taken into account in the power supply and thermal design. For this reason, bipolar juction transistors are no longer used in current microcontrollers. In these fields, the bipolar juction transistor has been displaced by the field-effect transistor.
Note: Bipolar juction transistors
There are 2 different types of bipolar juction transistors. These differ in the type of layer structure, or majority carrier charges:
- npn bipolar juction transistors: Major conduction occurs via electrons. These cannot pass through the p-doped region without current $I_B$ across the base. By $I_B>0$ holes are introduced into the base, which remove junction layers.
- pnp bipolar transistors: The main conduction occurs through holes. These cannot pass through the n-doped region without current $I_B$ across the base. By $I_B<0$ electrons are introduced into the base, which degrade junction layers.
In the bipolar juction transistor, both types of charge carriers are involved in the transport.
2.7 Field-Effect Transistor
2.7.1 Operating Principle
A field effect transistor (FET) also consists of two diodes connected against each other, which have a common n- or p-layer. However, the conductivity of the field-effect transistor is not generated by applying a control-current, but solely by a control-voltage. In the case of the bipolar juction transistor, the control current was also generated by a control voltage. However, the control current must flow continuously to drive the bipolar juction transistor, since the charge carriers introduced via the base recombine internally.
In figure 5 a special field-effect transistor is drawn, the so-called “metal-oxide-semiconductor field-effect transistor”. This will be explained in more detail below. The figure 6 outlines the principle of operation: the control voltage $U_{GS}$ (in English often as $V_{GS}$) regulates the current $I_D$ in the working circuit. This is done by the resistance $R_{DS}$ between $D$rain and $S$ource.
To distinguish the transistor types, and to emphasize the physics behind them, the terminals are labeled differently for the field-effect transistor:
- (S) Source: Terminal from which the charge carriers pass through the transistor (roughly corresponds to the emitter).
- (G) Gate: Terminal at which a voltage can be used to change the conductivity (roughly corresponds to the base, with control currents being injected there).
- (D) Drain: Terminal at which the charge carriers arrive and leave the transistor (corresponds approximately to the collector).
In addition, there is the “Bulk” (B) in the structure, which refers to the basic substrate of the transistor. This is usually not led out separately, but shorted to the source terminal. In some FETs, the bulk is represented by the middle connection.
In the following simulation, you can see that the field-effect transistor behaves much like a switch, which is controlled by a voltage. No current seems to flow on the gate, but when the voltage on the gate changes, the behavior changes from “conductive” to “open”.
2.7.2 Metal Oxide Semiconductor Field-Effect Transistor (MOSFET)
The structure of the metal oxide semiconductor field-effect transistor (Metal Oxide Semiconductor Field-Effect Transistor: MOSFET) resembles the bipolar juction transistor at first glance. In figure 7, the individual figures (1)…(3) show the layering of an n-channel (German: n-Kanal) MOSFET, and in (4) the circuit symbol is shown again. In contrast to the npn-bipolar juction transistor, the middle p-doped layer (bulk) is not directly connected to the control electrode. Rather, the metal layer of the gate (figure 7, Fig. (5), gray), the insulating layer of the oxide (shown in purple), and the conductive p-doped layer of the bulk (shown in red) form a capacitor. It should be noted that the bulk is at the potential of the source connection (dotted line in the picture).
Without voltage difference $U_{GS}$ between gate and source, a (small) junction is formed at the p-n junctions. If the voltage difference $U_{GS}$ is increased, the capacitor between gate and bulk is charged. This accumulates electrons opposite the gate electrode (figure 7, Fig. (2), dark blue “wedge”). If the voltage difference $U_{GS}$ exceeds a certain threshold voltage, the enriched electrons form a channel between source and gate. This allows a current $I_D \gg 0$ to flow through the MOSFET (figure 7 Fig. (3)).
The switching symbol (figure 7, figure (4)) can also be described as follows: Capacitors form between gate and source, between gate and base, and between gate and drain, respectively, in the off state because of the oxide layer (purple in Fig. (1))3). To drive the MOSFET, the voltage at the gate $U_{GS}$ must be such that a PN junction forms in the bulk, indicated by the white filled triangle in figure (4). Since the apex of the triangle (or the diode symbol sketched with it) points toward the gate, it is clear that we are dealing with an n-channel MOSFET.
In the simulation, the same voltage ratios are shown as in figure 7 (1)…(3). The toggle switch on the left makes it possible to invert the voltage $U_{DS}$ across the transistor. If this becomes negative, a slightly different situation arises: The MOSFET appears to become conductive regardless of what voltage $U_{GS}$ assumes. This is due to the fact that another diode has been hidden in the layer structure: a junction has formed between the bulk (p) and drain (n), which is operated at $U_{DS}<0$ and with the bulk and source connected in the forward direction. This so-called body diode is explicitly built into the simulation at (3b).
2.7.3 Output Characteristics of the MOSFET
The output characteristic $U_{DS}({I_D})$ is also to be considered for the MOSFET. This is also similar to the bipolar juction transistor, but now the different characteristics are adjustable by different control voltages $U_{GS}$ and not by a control current.
Unfortunately, the naming of the different operating ranges of a MOSFET differs from that of the bipolar juction transistor:
- Blocking range: at low input voltages $U_{GS}$, no channel can be formed. Accordingly, the entire transistor becomes nonconducting. In the output characteristic is can be seen by the fact that at positive output voltage $U_{DS}$ the output current $I_D$ becomes very small. In this case, the transistor corresponds to a high-impedance resistor, or an open switch, on the output side.
- Saturation region: for larger input voltages $U_{GS}> U_{th}$ above a threshold, a conductive channel is formed. In the saturation region, the output characteristic behaves like a straight line. The output current $I_D$ is thus only dependent on $U_{GS}$.
- linear region (active region) : The linear region is found at larger input voltages $U_{GS}> U_{th}$ and only small output voltage $U_{DS}$. At constant input voltage $U_{GS}$, the output voltage to output current behaves like a high non-linear resistor. In this case, the transistor on the output side corresponds to a low-impedance resistor, or a conducting switch.
It should be noted that the saturation region for MOSFET and bipolar juction transistor characterizes different operating ranges.
2.7.4 Variants of MOSFETs
The so far considered (and also most frequently used) field-effect transistor is the so-called “n-channel enhancement type MOSFET”. The part “n-channel” comes from the type of the current-forming charge carrier and was already given above. The part “enhancement type” represents, that the charge carriers are not present at first and have to be accumulated in the bulk by means of the voltage $U_{GS}$ for conductivity.
Some circuits (especially digital circuits) also use “p-channel enhancement type MOSFET”, where holes are the current-forming charge carriers. In the simulation , this type of MOSFET is shown. Most clearly, when the p-channel enhancement type MOSFET is connected, the drain and source are generally reversed. Thus, the numerical values of $U_{DS}$ and $I_D$ in the output characteristics become negative. To enrich holes in the p-channel, a negative voltage must be applied to the gate $U_{DS}<0$.
In the figure 8 the circuit symbols of different variants of MOSFETs are shown. In the MOSFETs in the top row, an n-channel is formed for charge transport, and in the bottom row, a p-channel is formed.
Three variations of an n-channel enhancement type MOSFET are shown in figure 8 in the upper left. In the first circuit symbol, the circle represents that it is a discrete device, i.e., a single MOSFET not integrated with others in a chip. The second circuit symbol has already been used in the previous chapters. The third circuit symbol of the same n-channel enhancement type MOSFET is the reduced version (i.e., without bulk). This representation is used for simplification in digital circuits.
In figure 8 on the lower left, three variations of a p-channel enhancement type MOSFET are shown. Again, the circle on the first circuit symbol indicates that it is a discrete device, but now the direction of the arrow on the bulk is rotated. The second switching symbol is used in the same way as for the n-channel MOSFET - in integrated circuits. The third symbol is again the reduced version (without bulk). For the digital circuit it is only important whether the switch closes or opens at high signal ($= 5V$). Since the p-channel enhancement type MOSFET opens, this is drawn with a negation sign (small circle) at the gate.
In figure 8 on the right, so-called n-channel and p-channel depletion-type MOSFET are shown. The MOSFETs considered so far were not conductive in the off state (i.e. $U_{DS}=0$). However, in some applications, it would be good if the MOSFET resembled a conductive switch when off. Looking at the layer structure (figure 7, Figure (1)…(3)), this is possible via selective redoping of the region opposite the gate. The doping can be used to dislocate a conductive channel. The charge carriers of this channel can be displaced or depleted by a suitable electric field - and thus suitable gate voltage $U_{GS}$. Thus, the MOSFET becomes non-conducting in the presence of a reverse voltage $U_{GS}$. In the circuit symbol, the “short circuit” between source and drain is also drawn in pictorially.
Remember: MOSFETs
There are 4 different types of MOSFETs. On the one hand, these differ in the type of current-forming charge carriers:
- n-channel: The current-forming charge carriers are electrons.
- p-channel: The current-forming charge carriers are holes.
The second distinguishing feature is the off-state conductivity ($U_{GS}=0$):
- enhancement type: When the gate voltage is $U_{GS}=0$, no conductive channel is present. Only by charging the gate bulk capacitor, the channel is formed or the carriers are enriched.
- depletion type: At a gate voltage of $U_{GS}=0$, a conductive channel is present. By charging the gate bulk capacitor, the channel is reduced or the charge carriers are displaced (“depleted”).
In the field-effect transistor, the electric field of the gate-bulk capacitor enriches or depletes only those charge carriers that contribute to charge transport.
2.7.5 Choosing the right Semiconductor Component
For all transistors and diodes, various limit values must be observed for the circuit design. These can be entered directly in the output characteristics (figure 9, above). Due to the heating of the component and the resulting increase in intrinsic conduction, two limit values result:
- In the conducting state, the power dissipation $P_{loss}=R(T)\cdot I^2$ forms a direct reference to the current through the semiconductor element $I_C, I_D, I_D$ (bipolar juction transistor, MOSFET, diode). This results in current $I_{max}$, which should not be exceeded.
- In the state where there is both a noticeable current and voltage, there is a maximum allowed power $P_{tot}=const.=U\cdot I$. This is a hyperbola in the output characteristic. If the output current exceeds this hyperbola, the semiconductor element heats up to such an extent that, due to the increasing intrinsic conductivity, the conductivity drops, which in turn leads to an increasing current. This effect leads to the thermal destruction of the component.
In addition, a maximum voltage $U_{max}$ must not be exceeded. This is usually due to the (internal) dielectric strength of the component.
These limits are especially important if, for example, a MOSFET is to be used as a switch (example: figure 9, below). In this case, there are two states:
- Switch is conductive: a low voltage $U_{DS}$ is applied, at which a large current $I_D<I_{max}$ flows.
- Switch is non-conductive: A high voltage $U_{DS}<U_{max}$ is applied, at which no current flows.
When switching from “conductive” to “non-conductive”, even if the individual current and voltage limits are taken into account, this can destroy the switch. In figure 9, this case can be seen in the diagram below. Current flow $I_D$ is initially maintained (or are only small), although voltage $U_{DS}$ increases (blue line). In this case, $P_{tot}$ may be exceeded and the MOSFET is destroyed due to thermal overload.
To speed up the switching process (especially for power MOSFETs, e.g. for motor drivers), so-called driver circuits generate the voltage $U_{GS}$. With these driver circuits, the control voltage can be made available and reset very quickly. For this purpose, currents in the range of several amperes must be provided for a short time for charging and discharging the gate capacitor.
Remember: Maximum output values of a semiconductor element
For each semiconductor element, there are three maximum values to consider at the output:
- a maximum voltage limit $U_{max}$,
- a maximum current limit $I_{max}$,
- a maximum power limit $P_{tot}=U \cdot I$
2.8 Applications for bipolar juction transistors
2.8.1 Darlington-Transistor
The Darlington circuit or the Darlington transistor (as a discrete element) is a simple construction, which makes it possible to control the output voltage $U_{BE}$ with a considerably lower base current $I_B$. In the simulation is the Darlington circuit compared to a simple bipolar juction transistor. Details can be found in Wikipedia under Darlington circuit.
2.8.2 Internal life of an operational amplifier
The operational amplifier as an “almost ideal” differential voltage amplifier represents a central component of electronic circuit technology from the next chapter on. In the chapter basics to amplifiers - feedback an ideal differential voltage amplifier was already used. In the simulation, the core of the differential voltage amplifier is simplified. Accordingly, there is no differential voltage at the input, but a small sinusoidal voltage. This is first applied to the base of the first bipolar juction transistor, which is a high impedance input amplifier stage. The current $I_C$ regulated by this in turn leads to a base of another bipolar juction transistor and then to the output amplifier stage. In simulation, this setup achieves a differential gain of about $A_D=10,000,000$. In real differential amplifiers, this is more in the range $A_D ≈100'000$. Details can be found in Wikipedia under operational amplifier.
2.9 Applications for Field-Effect Transistors
2.9.1 NOT Gate
Just about all consumer electronics products have field-effect transistors at their core. In detail, this is based on CMOS technology (CMOS: Complementary metal-oxide-semiconductor) is used. The MOSFETs on the ground side and the MOSFETs on the power supply side behave in opposite ways, i.e. complementary. The simulation shows the simplest gate, the NOT gate. Another gate was considered in an introductory way.
2.9.2 Reverse Polarity Protection
Many chips (such as microcontrollers) can be destroyed by an incorrectly polarized power supply. Battery powered electronics should have an active protection circuit for this. A diode is not practical for the power supply (why?). Instead, a MOSFET can be used, which does not pass negative voltages. Details are well explained on the page of Lothar Miller.
2.9.3 Level Converter
During electronics development it can happen that several integrated circuits (e.g. intelligent light sensor, microcontroller, intelligent LED) require different voltage levels. This can lead to problems especially during data exchange, if logic High has to be in a certain voltage range. This problem can be solved by a level converter. The level converter (also logic level converter, level shifter) enables the bidirectional connection of digital connections of different voltage levels, e.g. 5 V to 3.3 V.
For the level converter, any n-channel enhancement MOSFET whose threshold voltage is below $1.8...2.0 V$ can be used. This limit is due to the minimum logic level of $2.0 V$ for logic high. For simplicity, “logic level enhancement mode MOSFET” are used, which are just optimized for the logic voltage of $3.3V$.
The way it works is well explained on Wikipedia and can be derived with simulation.
2.9.4 Voltage Doubler/Inverter
As a power supply for electronics, $5V$ or $3.3V$ is often used. In the following chapter, we will see that a bipolar power supply is often used for operational amplifier circuits. To be able to generate $-5V$ at low currents from a $5V$ supply, charge pumps are often used. One such can be seen in the simulation. In the oscilloscope (in the simulation below), the voltage $U_{C1}$ is displayed at the input capacitor C1 and $U_{C2}$ at the storage capacitor C1. This circuit can be found, for example, in IC ICL7660 (Renesas), LMC7660 (TI), TC7660 (Microchip) integrated. Details on how it works can be found in this video, for example.
Study Questions:
- In which state is the voltage $U_{C1}$ equal to $1 V$? * In which state is the difference between the voltages $U_{C2}-U_{C1}$ across the two capacitors equal to $1V$?
- What happens if the voltage sources for $0V$ and $1V$ are reversed?
- How can this circuit be implemented with diodes instead of changeover switches?
2.9.5 Voltage Inverter in the Microcontroller
In some microcontrollers a negative voltage is required internally (e.g. for operational amplifiers). Since this voltage is not supplied externally, the microcontroller must provide it via an internal circuit. The simulation shows a circuit that can be integrated into a microcontroller in this way. The ring oscillator generates a high frequency clock signal, which drives an inverter stage (logical NOT gate). The charge can then be shoveled down via the two capacitors in such a way that the capacitor provides a negative voltage at the output. For more information, see Wikipedia under charge pump and “Inside the 8087's substrate bias circuit”.
2.9.6 H-Bridge
In many applications, current and voltage must be controlled independently of each other. This is the case, for example, with a motor (= ohmic-inductive load). There, the current is essentially proportional to the torque and the voltage to the speed. If voltage and current are to be output bipolar (or in the application: Torque and speed are to be controlled in both directions), a four-quadrant controller made of transistors is suitable. In modern integrated circuits, these are made of MOSFETs, directly equipped with the MOSFET driver, and several four-quadrant controllers can be found next to each other (e.g. the stepper motor driver DRV8835). Details can be found on Wikipedia under four-quadrant actuators.
2.9.7 Other MOSFET Applications
MOSFETs are not only used for pure switching of currents. Further applications are also:
- as a display element in TFT screens (TFT ... Thin Film Transistor).
- as memory element e.g. in SD cards Floating Gate Transistor, or also new approaches, like Ferroelectric_Random_Access_Memory)
- as an integrated “upstream” element for power bipolar juction transistors, especially in the Bipolar_transistor_with_insulated_gate_electrode (IGBT)
- as a chemical sensor for various materials (see Chemical_sensitive_field_effect_transistor)
- as a link between photonics/optoelectronics and classical electronics
Exercises
Exercise 2.8.1 Current/Voltage/Power limitations
Imagine you work at the company “mechatronics and robotics” and you try to build an IoT device for vehicles.
This device shall use the power of the $12V$-battery of the vehicle in order to send regularily information over Wifi. The Wifi IC needs $3.3V$ supply voltage and drains up to $800mA$ when sending signals.
In order to get the supply voltage a linear regulator shall be used. In detail you want to use the LM317 regulator. A linear regulator acts as a regulated shunt resistor, which regulate its voltage drop in order to have a fixed output value. The output value can be regulated with a voltage divider.
- Investigate the LM317 datasheet in order to find out, wheter the LM317 is suitable for the operating conditions:
- input voltage $V_{I,max}=14V$,
- output voltage $V_{O}=3.3V$ and
- output current $I_O=0.8A$.
- When the linear regulator acts as a shunt resistor, how can the power loss $P_{loss}$ be calculated?
- With the power loss $P_{loss}$ the temperature of the IC will rise. The power loss takes place within the junction. This creates a temperature drop $T_{Jx}$ between junction and surrounding. The IC will get soldered onto a PCB, and therefore the temperature drop $T_{JB}$ between junction and board is most important. These temperature drop can be calculated by: $\Delta T_{JB}= T_{J} - T_{B} =R_{\theta JB}\cdot P_{loss}$, where $R_{\theta JB}$ is the junction-to-board thermal resistance.
- Search for the themal information of the LM317 in the datasheet and calculate the maximum temperatures of the junction $T_{J}$, when the temperature of the board $T_{B}$ is $30°C$.
- Which package of the IC can be used, when the operating virtual junction temperature $T_J$ in the recommended operating conditions shall not be exceeded?
Exercise 2.10.1 beta factor on BJT
- On a bipolar junction transitor shows with a load the collector current $I_C = 398 mA$ and the base current $I_B= 2 mA$. What ist the value of the current gain $\beta$?
- A quite common BJT is the BC847, which can be bought from multiple supplier. Given the datasheet from BC847 - Nexperia, what is the needed base current $I_B$, when a collector current of $I_C=2mA$ shall be driven? Calculate $I_B$ for all 3 groups of BC847 transistors in the datasheet.
Exercise 2.10.2 Voltage calculation
Given is the circuit shown in the simulation below.
- For the first situation the base current is given with $I_B=50\mu A$, and the current gain $\beta=150$.
Calculate the voltage drop $U_L$ on the load $R_L$ and $U_{CE}$. - For the second situation, the base current of $I_B=250\mu A$ is needed.
- In order to do so: calculate first $U_{BE}$ of the first situation. $U_{BE}$ is assumed to be constant.
- Calculate the correct value of $R$.
- Run the simulation and set $R$ to the calculated value. Try to measure $\beta$. Why is it not $150$ anymore?
Exercise 2.10.3 Low Side Switch and High Side Switch
Given is the circuit shown in the simulation below. The transistor is called either “High Side Switch” or “Low Side Switch”, depending on the voltage which is directly connected to it. In the depicted circuits each transistor drive a load resistor of $10\Omega$. The input to the base / gate is a logic signal with $0V$ and $5V$ as voltage level.
- Explain the advantages of the MOSFET compared to the BJT based on this application.
- Change the voltage $VCC$ from $5V$ to $15V$, with the switch on the lower left corner. Are the transistors still able to switch in all configuartion?
- How can the problem be solved?
Exercise 2.10.4 Simple Temperature Detector
Given is the circuit shown in the simulation below. $R_2$ is a NTC resistor, which is used to detect the rise over a threshold temperature.
- At first the series resistor in front of the LED has to be calulated. For this the voltage drop $U_{CE}$ of the BJT can be neglected. The given LED lights bright for about $10mA$ (lighting starts for about $1mA$). The supply voltage is $U_S=5.0V$ and the forward voltage of the LED is $U_{LED}=1.7V$.
- What is the ideal value of $R_D$?
- The value in the simulation is not correct. Which effect does this have?
- At second, the system shall be designed for a temperature threshold of $T_0=50°C$.
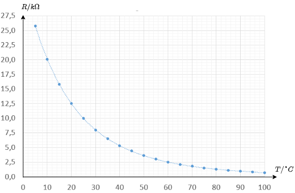
- The $R(T)$-characteristic the NTC $R_2$ is shown in the diagram below. What is the value of $R_2(T_0)$?
- The BJT is conducting for $U_{BC}=0.6V$. What is the correct value for $R_1$?
Learning questions
for self-study
- Describe the function of a transistor.
- Sketch the layered structure of a bipolar juction transistor. Explain the switching through of a PNP bipolar juction transistor with the help of the sketch drawn.
- Draw the simplified diode equivalent circuit of an NPN transistor describe the working.
- Explain the difference between a PNP and NPN transistor.
- Draw a circuit each with the respective switch connected to U+ = 5V and ground in such a way that switching through is possible with a voltage between U+ and ground at the base.
- Name the respective connections of the transistors in the drawing.
- What voltage must be applied to the base in each case for the transistor to switch through?
- How should the sign of the control current be chosen in each case?
- In what size range is a typical current gain?
- Current-controlled and voltage-controlled transistors
- Explain the difference between a current controlled transistor and a voltage controlled transistor.
- Which type of transistor is current controlled and which is voltage controlled?
- Draw a circuit diagram each for a current controlled transistor and a voltage controlled transistor.
- What is the doping order of the transistors drawn?
- What are the two basic types of transistors?
- MOSFET
- What are the advantages of a MOSFET over a bipolar juction transistor?
- How is a MOSFET constructed? (layer structure, connections)
- H-bridge
- Draw an H-bridge with switches (ideal switch), a resistive/inductive load and an external voltage source with V+ and GND.
- How can the various switches be controlled to have any voltage between V+ and V- applied to the load? What is the technical term for the method of control?
- Draw the PWM signal necessary to generate a sinusoidal output when a full bridge is used.
- What are the uses for transistors
- What are some uses for transistors?
- Draw a voltage doubler.
- What is a level converter?
- Why is it preferred to use field-effect transistors rather than bipolar juction transistors nowadays?
with answers
Further reading
- a nice clip about the background why the MOSFET is probably the most significant invention of the 20th Century.
Image references
- References to the media used
-
Element License Link Video: Circuit Elements - Diodes and Transistors - Part 4 CC-BY (Youtube) https://www.youtube.com/watch?v=KjyHta5p9WE figure 4: Function of the npn bipolar juction transistor (c) Open Music Lab, with permission for further use Source: Mail of the illustrator figure 6: function of the MOSFET (c) Open Music Lab, with permission to reuse CrowdSupply


